Buscador
Documentos
Prisionero
Opinión
Actuación
Prensa
Reportajes
Columnistas
Contacto
Ecuacion
Homepage
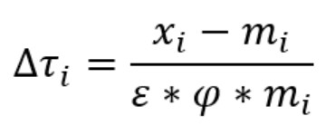
¿Hay un error en los aranceles de Trump?
Ecuacion
Next Image
Comment
Leave a Reply
Cancel reply
Your email address will not be published.
Required fields are marked
*
Name
Email
Website